logo
webdesign, bonn

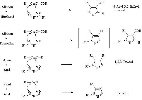
1,3-Dipolare Cycloaddition






1. R. Huisgen, Angew. Chem. 1963, 75, 604-637; Angew. Chem. Int. Ed. Engl. 1963, 14, 565.
2. R. Huisgen, Angew. Chem. 1963, 75, 742-754; Angew. Chem. Int. Ed. Engl. 1963, 14, 633.
3. R. Huisgen in 1,3-Dipolar Cycloaddition Chemistry, (Hrsg.: A. Padwa) Wiley, New York, 1984, Bd. 1, S. 1-176.
4. W. Carruthers, Cycloaddition Reactions in Organic Synthesis, Pergamon Press, Oxford, 1990, S. 269-331.
5. P. N. Confalone, E. M. Huie, Org. React. 1988, 36, 1-173.

© avaris | godot Webdesign