logo
webdesign, bonn

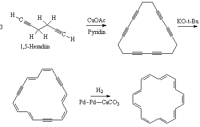
Eglington-Reaktion

Alkine mit endständigen H-Atomen an der Dreifachbindung können durch Erhitzen in Pyridin oder ähnlichen Basen unter Zugabe von stöchiometrischen Mengen Kupfer-Salz koppeln. (Muß nicht zum Annulen werden)






1. L. G. Fedenok, V. M. Berdnikov, M. S. Shvartsberg, J. Org. Chem. USSR 1973, 9, 1806-1809.
2. N. Nakagawa in The Chemistry of the Carbon- Carbon Triple Bond (Hrsg.: S. Patai), Wiley, New York, 1978, Bd. 2, S. 654-656.
3. F. Sondheimer, R. Wolovsky, J. Am. Chem. Soc. 1962, 84, 260-269.

© avaris | godot Webdesign