logo
webdesign, bonn

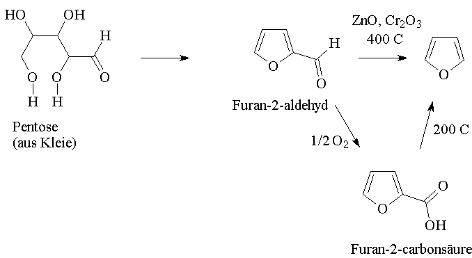
Furan-Derivate

Furan-2-aldehyd (Furfural) entsteht in technischem Maßstab durch säurekatalysierte Wasserabspaltung aus Pentosen, z. B. bei der Destillation von Kleie (lat.: furfur) mit verdünnter Schwefelsäure. Furfuran selbst wird technisch durch thermische Decarbonilierung des Alfehyds gewonnen. es entsteht auch bei der Decarboxilierung der Furan-2-carbonsäure (Brenzschleimsäure).

© avaris | godot Webdesign