logo
webdesign, bonn

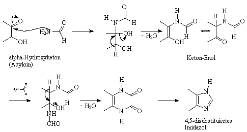
Heterocyclisierung nach Brederek










© avaris | godot Webdesign