logo
webdesign, bonn

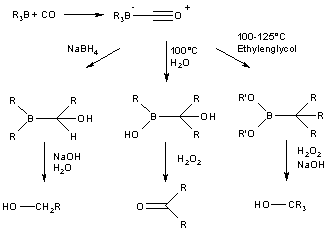
Hydroborierung mit Kohlenmonoxid












H. R. Christen, F. Vögtle, Grundlagen der organischen Chemie, 1. Aufl. 1989, Salle und Sauerländer, S. 424.

© avaris | godot Webdesign