logo
webdesign, bonn

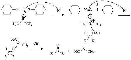
Swern-Oxidation

Carruthors 358

N, N'-Dicyclohexylcarbodiimid 136 DM/kg
206.33 g/mol, mp. 34-35°C, bp. 122-124°C
R34 Verursacht Verätzungen
R43 Sensibilisierung durch Hautkontakt möglich
S26 Bei Berührung mit den Augen gründlich mit Wasser ausspülen und Arzt konsultieren
S24/25 Berührungen mit den Augen und der Haut vermeiden
S36/37/39 Bei der Arbeit geeignete Schutzandschuhe, Schutzkleidung und Schutzbrille/Gesichtsschutz tragen






1. K. Omura, D. Swern, Tetrahedron, 1978, 34, 1651.
2. M. Marx, T. T. Tidwell, J. Org. Chem., 1984, 49, 788.
3. A. J. Mancuso, D. Swern, Synthesis, 1981, 165-185.
4. T. T. Tidwell, Org. React., 1990, 39, 297-572.

© avaris | godot Suchmaschinenoptimierung